I told you yesterday that I would be writing another post today, since I’m going into the office, and here I am, writing another post. You were given fair warning—or at least, you were given adequate disclosure.
Yesterday (and into today) I was listening to an episode of Sean Carroll’s Mindscape in which he spoke with Adam Riess, one of the discoverers in the late 1190s of the increasing rate of cosmic expansion—the single most exciting scientific discovery I recall happening in my lifetime. In the podcast, the two physicists spoke, of course, of “dark energy” and “dark matter” and the “Hubble tension” between two different ways of predicting and/or calculating the Hubble constant*, and that all reminded me of something that I’d thought of more than twenty years before.
If M-theory (an overall theoretical structure that subsumes “string theory”) were to be right, and we are merely living in a 3-brane embedded in a higher-dimensional “bulk”, then perhaps the explanation for “dark matter” could be simply the gravitational effects of matter in a nearby, parallel 3-brane, or perhaps even more than one (since, if more than one, why not more than two?). I had first tried to give myself a very simplified model on which to do some calculations about the possibility just for fun, way back in a lunch break during my first year in private medical practice, but I didn’t get very far. My schedule was rather busy, and I had many good and interesting things going on in my life that drew my attention. That last part, at least, has changed almost completely.
Despite all the theoretical and proposed notions for what dark matter particles might be (WIMPS, Axions, lots of primordial black holes, etc.) there has not been a single detection of any of them. There hadn’t been any twenty years ago, and there haven’t been any as of this writing, unless they’re keeping it under their hats, which is unlikely for something of such importance. Nobel Prizes will be won by those who discover convincing evidence of any dark matter particles!
The evidence for dark matter in general. though, is tremendous and all but unassailable, coming from multiple fronts in astronomy/cosmology/astrophysics, but its specific nature is still not known.
So, yesterday morning, I decided to retry the notion I’d had twenty-odd years ago, just for fun. I don’t expect to make any particularly interesting breakthrough here, obviously, but it was just my way of seeing if my notion has any modicum of worth at all, or if it’s totally self-contradictory.
As before, I needed to set up a highly simplified situation, just so that it would be within the wheelhouse of my very limited mathematical skills, which are rusty to say the least, and which were never nearly advanced enough for any serious work in GR or M theory (I often consider trying to work my way up to better, more useful such skills, but I don’t know whether that will ever happen).
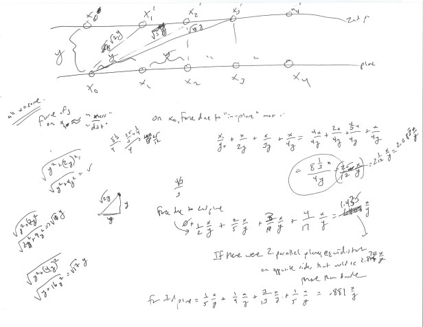
So, I took my model down to being just a plane rather than a space, which makes the strength of gravity fall off linearly with distance, rather than as distance squared. Then I just took a line of identical masses, x, (x0, x1, x2 etc.) all separated by an even distance, which I called y, and so the gravitational force on my x0 mass due to any other was just proportional to x over some multiple of y. I made my gravitational “constant” just 1, so the force would literally be x/y or x/2y, and so on.
Really, in the first universe, though it was in principle two-dimensional, I only had to deal with one dimension of additive forces. This will make my model not terribly useful with respect to the actual universe, but I wanted just to get a feel for things. You’ve gotta crawl before you can walk or run or fly.
Then I took my “parallel” brane to be also y distance away—to keep applications of the Pythagorean Theorem and such simple—but obviously in a direction that’s orthogonal to every direction within the original brane.
According to the ideas in M-theory/string theory, most particles—photons, electrons, quarks, gluons, neutrinos, etc.—are described as “open” strings, with free ends, and as such, they cannot leave the brane in which they exist (apparently their ends are “sticky”)***. But gravitons, as proposed in string theory (they were one of the main things that first led people to take string theory seriously as a potential theory of quantum gravity) are closed strings, and they can go between branes and into the “bulk”, the larger, overarching spacetime in which lower-dimensional branes could be embedded. Thus, one brane can gravitate with respect to another, and this tendency of gravity not to be confined within a brane could explain the relative weakness of gravity compared to the other forces of nature.
Okay, so I did my best to try to work out the situation relating the additional strength of gravity felt by my initial, single particle due to the added gravity from masses in the parallel brane—and then two parallel branes or so, just to see. I made some mathematical errors that I caught, and I’m sure I made others than I didn’t catch, so I’ll include my—utterly chaotic and not really annotated—worksheets here below, in case anyone is masochistic enough to want to look through them.
I don’t think I produced any startling insights, of course, but one thing that became more obvious on working it through is that, as parallel masses get farther away as measured in the plane of the original universe, their gravitational effects become more like that of the masses within the original brane. This makes sense, because the farther away they are, the less the effect of the separation of their branes has relative to that distance; so the angle of that force relative to the plane of the first universe is smaller, and its within-brane component is larger****. The “nearer” masses would have gravity that was barely felt, or not felt at all, within the original brane (or universe), but the farther out the masses go, the more they would be felt as if they were mere additional mass within the original brane/universe.
Could a situation analogous to this but in higher dimensions explain why dark matter acts as though it is a halo going through and around galaxies, and doesn’t seem to clump together? And could such a description, in the absence of any detectable particles of dark matter, constitute a test of the notoriously difficult-to-test M-theory in the real world? At least, the longer we go on being unable to find a direct dark matter candidate particle interaction, the more the Bayesian prior for a string/M-theory explanation might go up.
I don’t know. I’m way too out of my depth. But it is an interesting thought, and I invite any readers who have actual expertise in such matters please to give me their reactions. I don’t think my thoughts are anything that’s useful for anyone, but it is kind of cool. I think.
For those of you who aren’t interested in such things, I apologize. It is a Saturday post, so you can consider it a weekend indulgence (though I did the figuring on Friday morning, really). It’s the sort of thing I think I previously would have confined to Iterations of Zero, and I’ve skirted the topic in the past there and here.
I have to have things like this to do from time to time. If I weren’t able to think about such things to distract myself from my own awfulness, I would already have killed myself a long time ago.
Maybe that would have been better for everyone. But the past cannot be changed without making a completely new universe that wouldn’t benefit anyone in this one. So, it is what it is.
Have a good weekend.



*It’s either roughly 67 or roughly 73 kilometers per second per megaparsec**, which is the overall rate of expansion of the universe. These values do not have overlapping error-bars, and they both have become tighter over time, so something is being missed. It’s not a huge difference, but there should be no difference at all if the models are correct in all aspects.
**The parsec is not a measure of time, of course, but of distance, and a mighty big distance at that. A parsec is a little over three light-years (which is about 30 trillion kilometers), so a megaparsec is roughly 3 million light-years. Big! With this measure of the Hubbles constant, you can see why, at close distances, attractive gravity vastly supersedes expansion; the expansion tendency doesn’t become very large—indeed, expansion doesn’t even happen—until distances become truly cosmic in scale. The Andromeda galaxy is less than one megaparsec away (not by much), and its net movement toward “us” is about 110 kilometers per second. I suppose that implies that if it were not for the Hubble expansion, it might be coming toward us at about 180 kilometers per second, and might “collide” with the Milky Way in only two or three billion years instead of four or five. Oh, well, we’ll just have to wait.
***The thought just occurred to me that branes, like strings, are thought to be composed of some form of “energy”, admittedly a nebulous term and a place-holder—there’s always more to learn. But uniform energy creates a negative pressure, which in General Relativity produces repulsive gravity…the very cosmological term/constant Einstein proposed and discarded, but which has come back into its own as a descriptor of “dark energy” and even cosmic inflation. On the scale of individual strings, say, even though the energy density would be high, the Lambda term would be too small to lead something the size of a typical string to expand at all, but in a brane—2 dimensional, 3-dimension, or more—if it’s large enough, the very energy that constitutes the brane might be enough to explain the existence of repulsive gravity, from inflation to the current “dark energy”. Or am I totally off-base here?
****The vector component of their gravitational force that can be felt within the first brane should be the cosine of the angle between the second-brane mass and its analog in the original times the total gravitational force it would exert on the first. Any other component would be felt between the branes. Such possible inter-universe gravitation is in the source of the threatening catastrophe in my book The Chasm and the Collision. Don’t worry, the book doesn’t dwell much on any technical aspects of this.

This is very cool. I don’t understand the math, but you explain it in words very well.
Thank you. I was a little worried that it would be pretty unclear, or even incoherent.
Nope. I mean, you have to pay attention to what you’re reading, but it’s not incoherent at all.
Pingback: What? Were you thinking? – Robert Elessar